Trafo_Flussdichte_Wicklungen1_Aufgabe
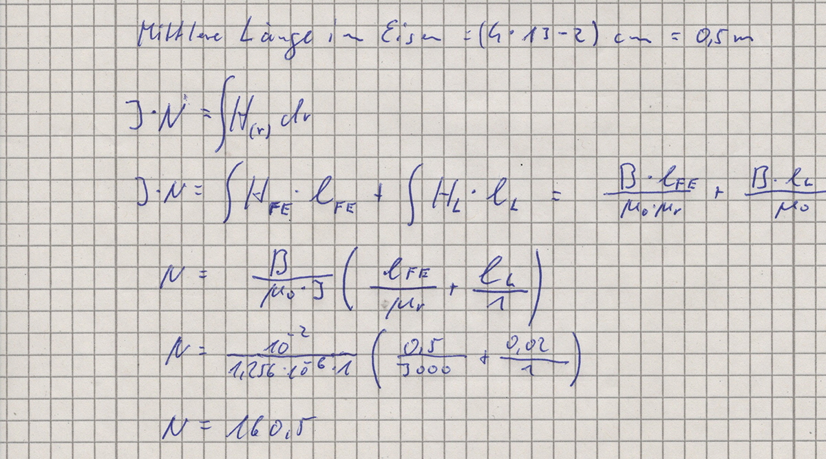
Trafo_Flussdichte_Wicklungen1_Lösung