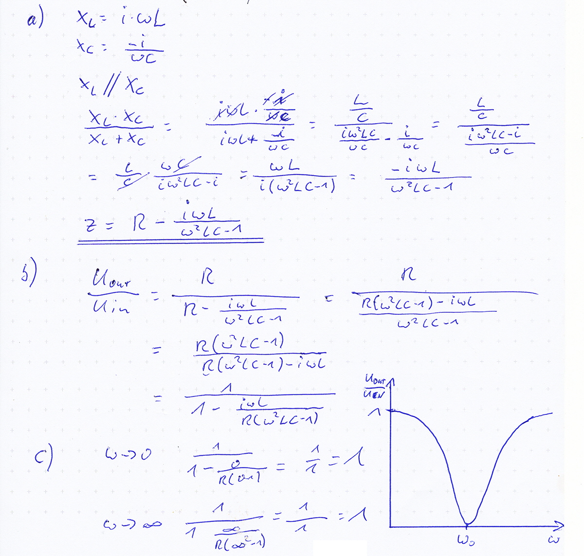
RLC-Filter3_Aufgabe
RLC-Filter3_Lösung