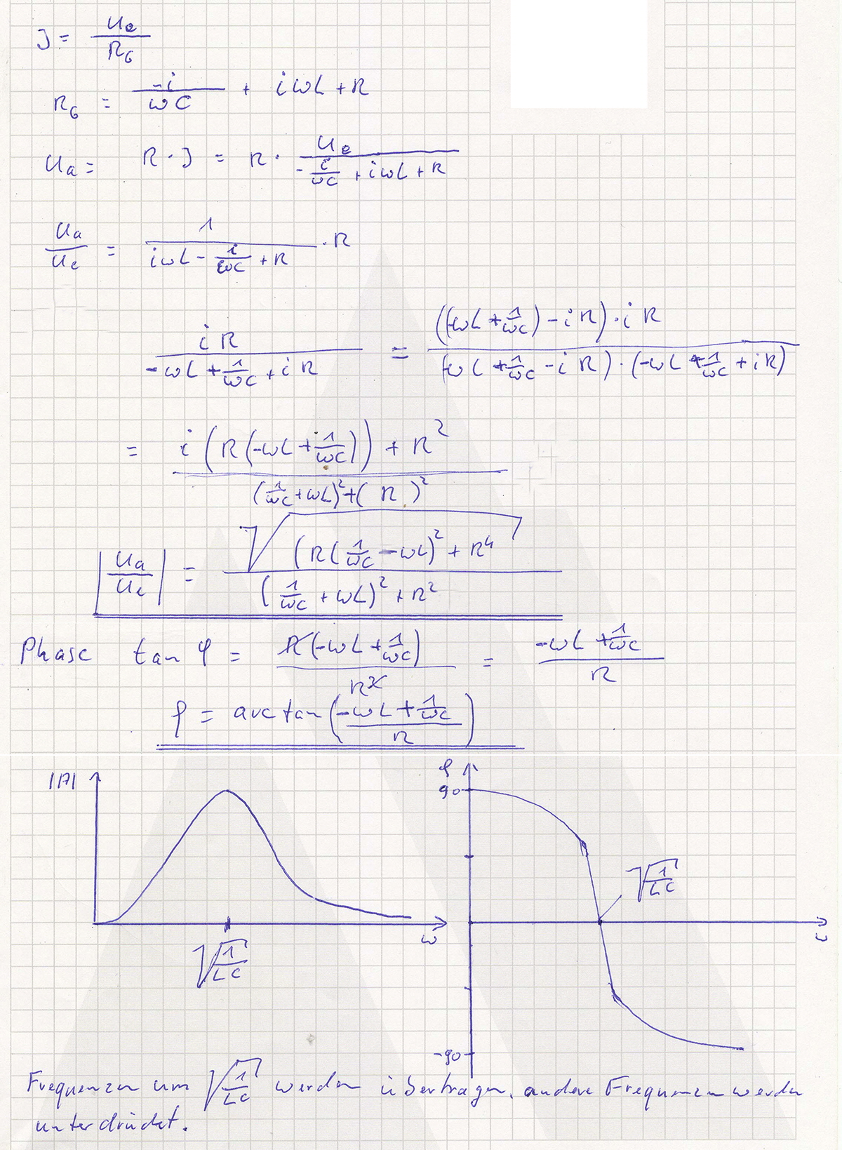
RLC-Filter1_Aufgabe
RLC-Filter1_Lösung