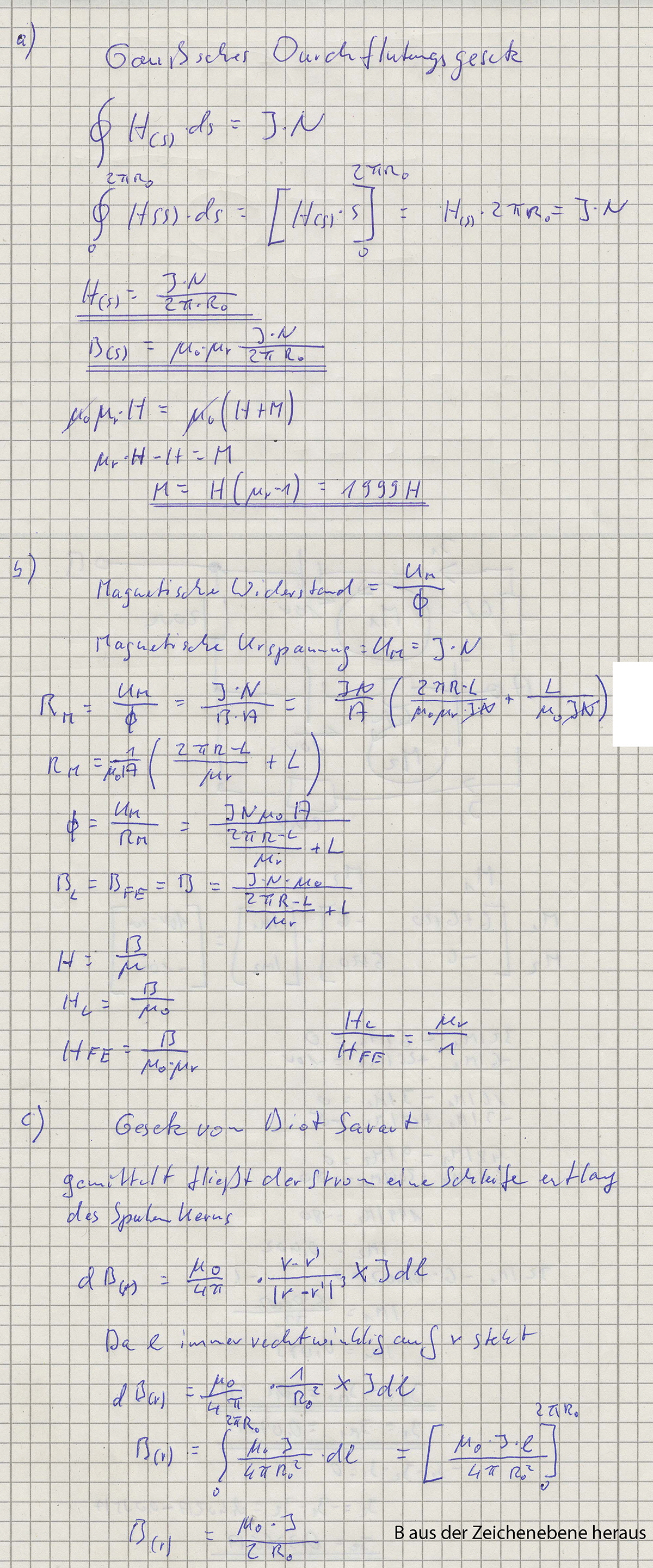
Ringspule2_Aufgabe
Ringspule2_Lösung