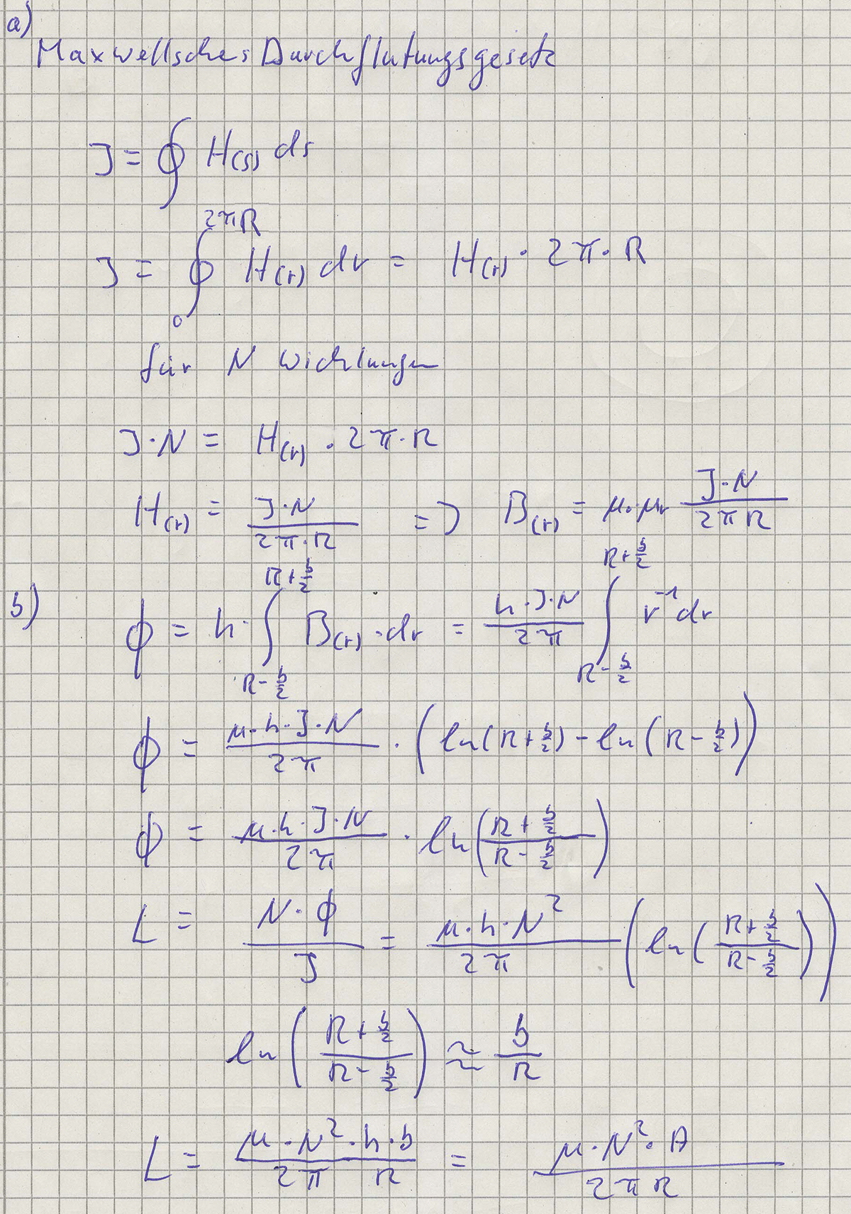
Ringspule1_Aufgabe
Ringspule1_Lösung