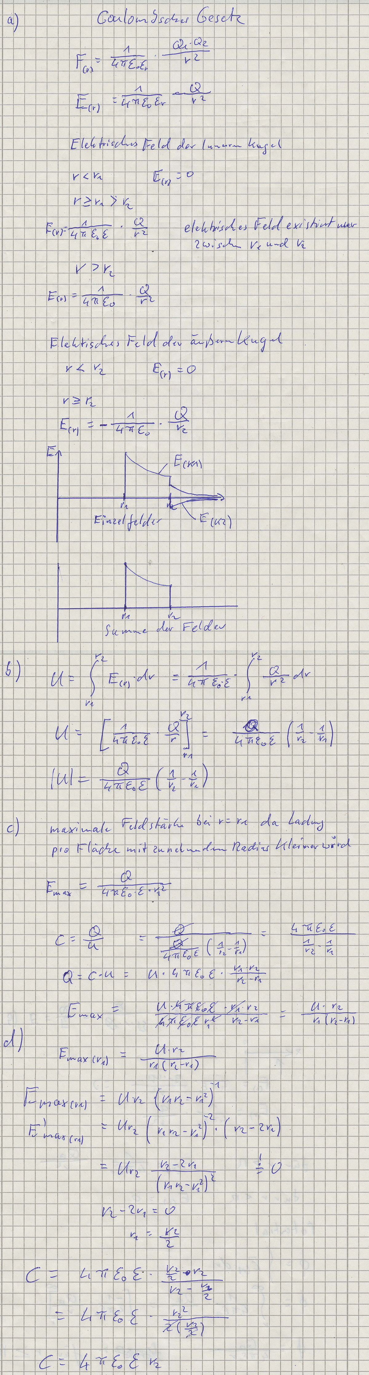
Kugelkondensator1_Aufgabe
Kugelkondensator1_Lösung