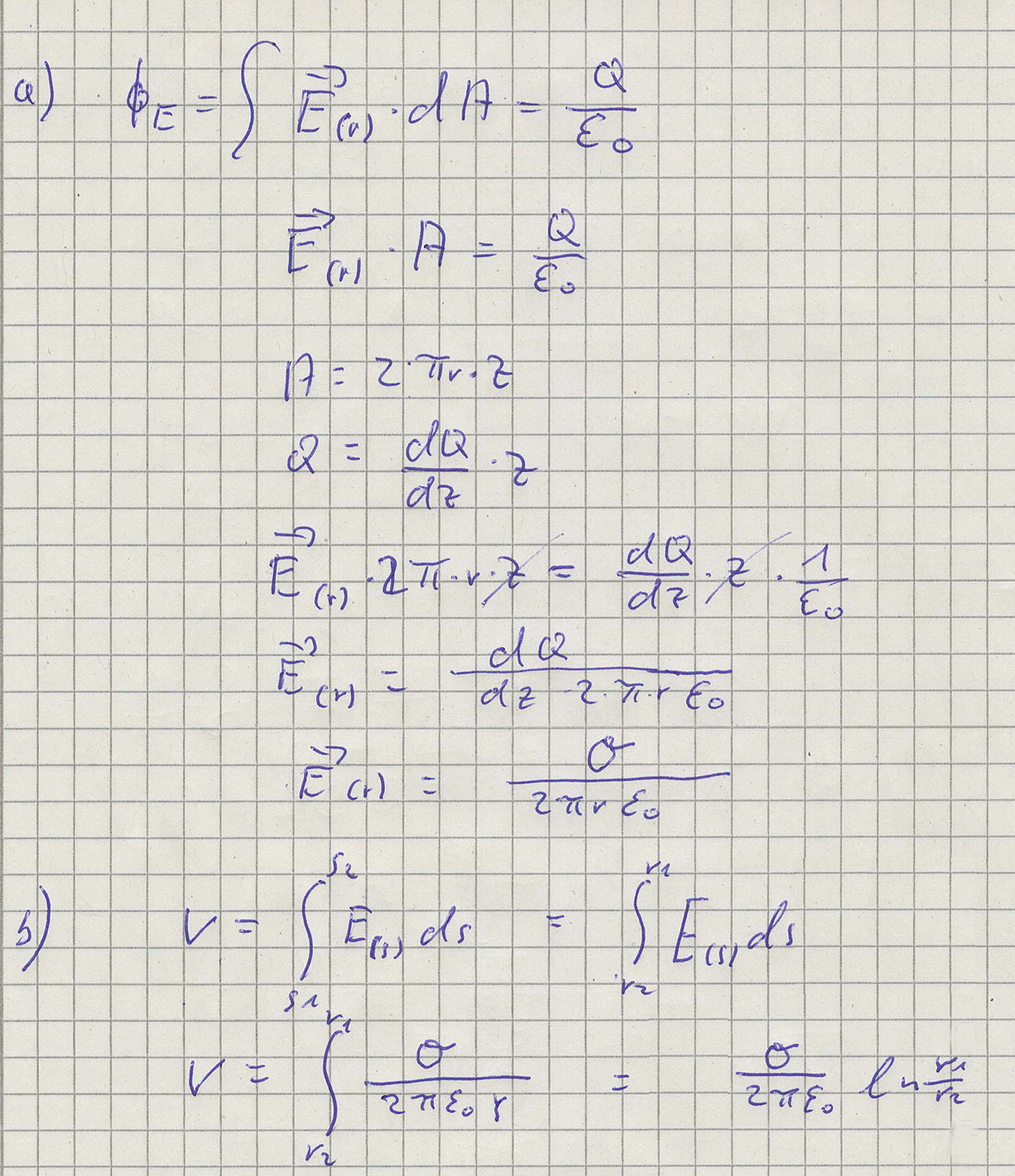
E-Feld_Potential_Maxwell1_Aufgabe
E-Feld_Potential_Maxwell1_Lösung