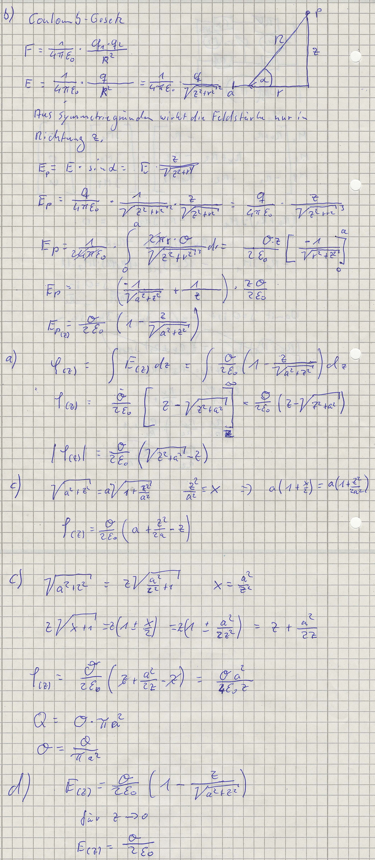
E-Feld,Potential_Kreisscheibe1_Aufgabe
E-Feld,Potential_Kreisscheibe1_Lösung